linkedin

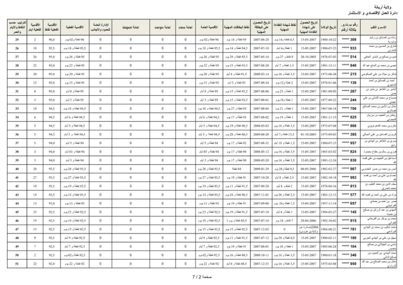
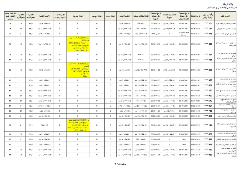
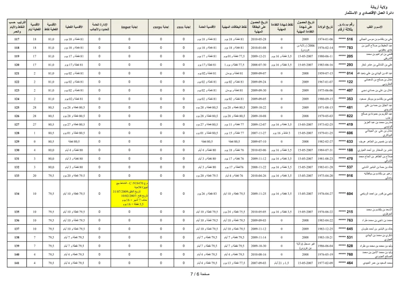
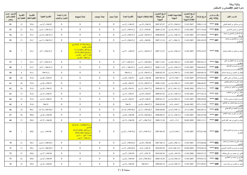
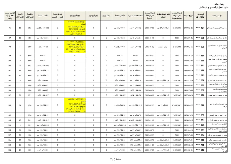
وطنية: نشرت ولاية أريانة اليوم الثلاثاء القائمة الأولية للمترشحين للحصول على رخصة تاكسي فردي مرتبة حسب الأولوية وفق ما أوردته في بلاغ لها.